No. |
Questões | [Ref] |
| 1 |
Questão 1 [Question 1]
A coil’s resistance is determined by:
wire hardness.
wire permeability.
X wire cross-sectional area.
wire weight.
|
[SG3 ] |
| a) errada [wrong] | ||
| b) errada [wrong] | ||
| c) CORRETA [RIGHT] | ||
| d) errada [wrong] | ||
| 2 |
Questão [Question]
Inductance might be referred to as being analogous to:
force.
volume.
X inertia.
velocity.
|
[SG3 ] |
| a) CORRETA [RIGHT] | ||
| b) errada [wrong] | ||
| c) errada [wrong] | ||
| d) errada (wrong) | ||
| 3 |
Pergunta 3 [Question 3]
The unit of inductance is the:
X henry.
maxwell.
ohm.
farad.
|
[SG3 ] |
| a) errada [wrong] | ||
| b) errada [wrong] | ||
| c) errada [wrong] | ||
| d) CORRETA [RIGHT] | ||
| 4 |
Questão 4 [Questão 4]
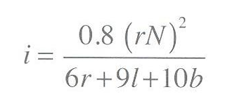
Onde:i = alto indutância [μH] N = número total de voltas r = raio médio [in] l = comprimento da bobina [in] b = altura de camadas da bobina [in] The inductance of a multilayer air-core coil with the dimensions l = 0.2 in, r = 0.5 in, b = 0.1 in, and N = 20 voltas, is: 1.38 H X 13.8 μH 13.8 ohms 1.38 ohms |
[SG3 ] |
| a) CORRETA (RIGHT] | ||
| b) errada [wrong] | ||
| c) errada [wrong] | ||
| d) errada [wrong] | ||
| 5 |
Questão 5 [Question 5]
The inductive reactance of the coil in Question 4, operating at 400 kHz, would be:
1380 ohms
5520 ohms
X 34.66 ohms
3466 ohms
|
[SG3 ] |
| a) CORRETA [RIGHT] | ||
| b) errada [wrong] | ||
| c) errada [wrong] | ||
| d) errada [wrong] | ||
| 6 |
Questão 6 [Question 6]
The impedance of a 100 wH coil with a resistance of 20 ohms operating at 100 kHz would be:
62.8 ohms
4343.8 ohms
628 ohms
X 65.9 ohms
|
[SG3 ] |
| a) errada [wrong] | ||
| b) errada [wrong] | ||
| c) errada [wrong] | ||
| d) CORRETA [RIGHT] | ||
| 7 |
Questão 7 [Question 7]
The Q or merit of a coil is denoted by the ratio:
Z / XL
XL / Z
x XL / R
R / XL
|
[SG3 ] |
| a) errada [wrong] | ||
| b) errada [wrong] | ||
| c) CORRETA [RIGHT] | ||
| d) errada [wrong] | ||
| 8 |
Questão 8 [Question 8]
The incorporation offerromagnetic shielding materials around a coil:
X improves resolution.
increases field extension.
reduces impedance.
reduces the figure of merit Q of the coil
|
[SG3 ] |
| a) errada [wrong] | ||
| b) CORRETA [RIGHT] | ||
| c) errada [wrong] | ||
| d) errada [wrong] | ||
| 9 |
Questão [Question]
The purpose of a steady-state winding used near a test coil is to:
increase material permeability effects.
reduce magnetic permeability effects.
provide a balance source for the sensing coil.
X reduce signal-to-noise ratio.
|
[SG3 ] |
| a) CORRETA (RIGHT] | ||
| b) errada [wrong] | ||
| c) errada [wrong] | ||
| d) CORRETA [RIGHT] | ||
| 10 |
Questão 10 [Question 10]
The most important consideration when selecting a test coil is:
sensitivity.
resolution.
X stability.
meeting established inspection criteria.
|
[SG3 ] |
| a) errada [wrong] | ||
| b) errada [wrong] | ||
| c) errada [wrong] | ||
| d) CORRETA (RIGHT] | ||
| |NDTnet Forum| |Quiz Main Page| |NDTnet| |
Envio de Resultado por Email
Pegar informações no botão Meu resultado... acima