No. |
Questões | [Ref] |
| 1 |
A geração das correntes parasitas depende dos princííos de: [Generation of eddy currents depends on the principle of:]
|
[SG1] |
| a) ondas guiadas [guide wave] | ||
| b) forças magnetoestrictivas [magnetorestrictive forces] | ||
| c) forças de Lorentz [lorentz forces] | ||
| d) indução eletromagnética [electromagnetic induction] | ||
| 2 |
Um campo secundário é gerado pelo objeto ensaiado e é: [A secondary field is generated by the test object and is:]
|
[SG1] |
| a) Igual e oposto ao campo primário [Equal and opposite to the primary field] | ||
| b) No mesmo plano em que a bobina foi enrolada [in the same plane as the coil is wound] | ||
| c) Oposto ao campo primário mas muito mais fraco [Opposite to the primary field but much smaller] | ||
| d) Em fase com o campo primário [In phase with the primary field] | ||
| 3 |
Quando um peça não ferromagnética é colocada numa bobina de ensaio a voltagem da bobina: [When a nonferromagnetic part is placed in the test coil, the coil voltage:]
|
[SG1] |
| a) Aumenta [Increases] | ||
| b) Permanece constante porque isso é essencial [Remains constant because this is essential] | ||
| c) Mudança de fase de 90 graus [Shifts 90 degrees in phase] | ||
| d) Diminui [Descreases] | ||
| 4 |
Relativo a figura. Se ET foi produzido pelo objeto sendo aço inoxidável, qual seria o efeito se o objeto fosse o cobre. [Refer to Figure 7(b). If Ey was produced by the test
object being stainless steel, what would the effect be if the test object were copper?]
|
[SG1 ] |
| a) ET iria decrescer e estar a um ângulo diferente [ET would decrease and be at a different angle] | ||
| b) ET iria crescer e estar em um ângulo diferente [ET would increase and be at a different angle.] | ||
| c) Porque ambos materiais são não ferromagnéticos, nenhuma mudança iria ocorrer [Because both materials are nonferromagnetic, no change occurs] | ||
| d) A corrente (I) e o campo magnético primário (ΦP) estariam defasados [Current (1) and primary magnetic flux (ΦP) will be out of phase] | ||
| 5 |
As correntes parasitas geradas no objeto inspecionado fluem: [Eddy currents generated in a test object flow:]
|
[SG1] |
| a) No mesmo plano no qual a bobina é espiralada [in the same plane as the coil is wound] | ||
| b) No mesmo plano do campo magnético [in the same plane as magnetic flux] | ||
| c) Num plano a 90o com o plano de enroalmento da bobina [90o to the coil winding plane] | ||
| d) sem direção previsível [in no predictable direction] | ||
| 6 |
A descoberta da indução eletromagnética é creditada a: [The discovery of electromagnetic induction is credited to:]
|
[SG1] |
| a) Arago [Arago] | ||
| b) Oersted [Oersted] | ||
| c) Maxwell [Maxwell] | ||
| d) Faraday [Faraday] | ||
| 7 |
A profundidade padrão de penetração é definida como o ponto em uma peça ensaida onde a densidade de corrente relativa é reduzida a: [A standard depth of penetration is defined as the point in a test object where the relative current
density is reduced to:]
|
[SG1] |
| a) 25% [25%] | ||
| b) 50% [50%] | ||
| c) 100% [100%] | ||
| d) 37% [37%} | ||
| 8 |
Referente a figura. Se uma profundidade padrão de penetração foi estabelecida a 1 mm num objeto de 3 mm de espessura, qual a densidade de corrente relativa na parede oposta? [Refer to Figure 8. If one standard depth of
penetration was established at 1 mm in an object 3 mm thick, what is the relative current density on the far surface?]
|
[SG1] |
| a) 3 [3] | ||
| b) 1/3 [1/3] | ||
| c) indeterminada [indeterminate] | ||
| d) <0,1 [<0,1] | ||
| 9 |
Referente a figura 9. Empregando o exemplo da questão 8, qual a diferença de fase entre as superfícies superior e inferior da peça? [Refer to Figure 9. Using the example in question 8, what is the phase difference between the near and far surfaces?]
|
[SG1] |
| a) A superfície oposta está adiantada de 57° da supefície próxima [The far-surface current leads the near-surface current by 57°] | ||
| b) A superfície oposta está adiantada de 171° da supefície próxima [The far-surface current leads the near-surface current by 171°] | ||
| c) A superfície oposta está atrasada de 570° da supefície próxima [The far-surface current lags the near-surface current by 570°] | ||
| d) A superfície oposta está atrasada de 171° da supefície próxima [The far-surface current lags the near-surface current by 171°] | ||
| 10 |
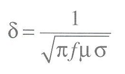
Onde:δ = profundidade padrão de penetração [m] Π = 3,1416 f = frequência [Hz] μ = permeabilidade magnética [H/m] σ = condutividade elétrica [S/m] Calcule a profundidade padrão de penetração a 10 kHz no cobre. O cobre tem σ = 5.7 x 107 siemens por metro. [Calculate the standard depth of penetration at 10 kHz in copper. Cu has σ = 5.7 x 107 siemens per meter. |
[SG1] |
| a) 0.1 mm (3.9 x 10° in.) | ||
| b) 0.02 mm (7.9 x 10-4 in.) | ||
| c) 66 mm (2.6 in.) | ||
| d) 0.66 mm [0.026 in.] | ||
| |NDTnet Forum| |Quiz Main Page| |NDTnet| |
Envio de Resultado por Email
Pegar informações no botão Meu resultado... acima